浙江省工程建设质量管理协会检测分会
首页
Home
分会概况
Nav
分会工作
Nav
教育培训
Nav
标准预告
Nav
行业信息
Nav
行业动态
Nav
办事指南
Nav
联系我们
Nav
分会介绍
公告公示
分会文件
转发通知
培训信息
培训计划
培训报名入口
成绩查询入口
证书查询入口
实操参考视频
习题集
准考证
图片新闻
专题报道
让检测行业健康发展,为工程质量保驾护航!
For the Detection Industry's Development,For the Quality of Engineering!
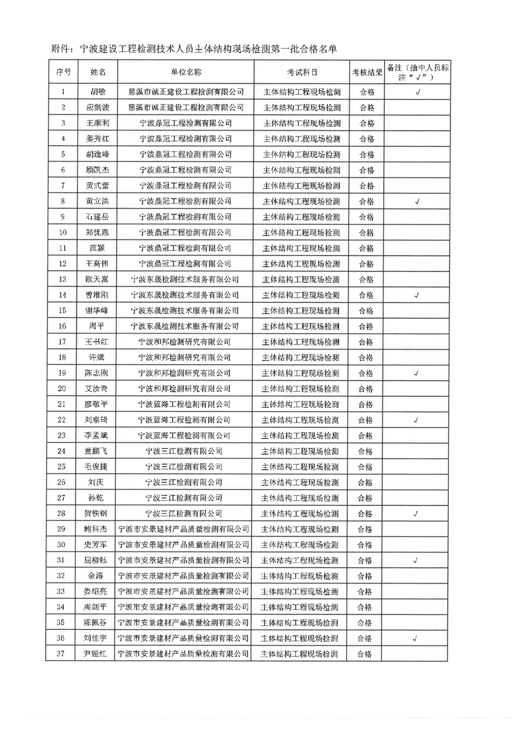
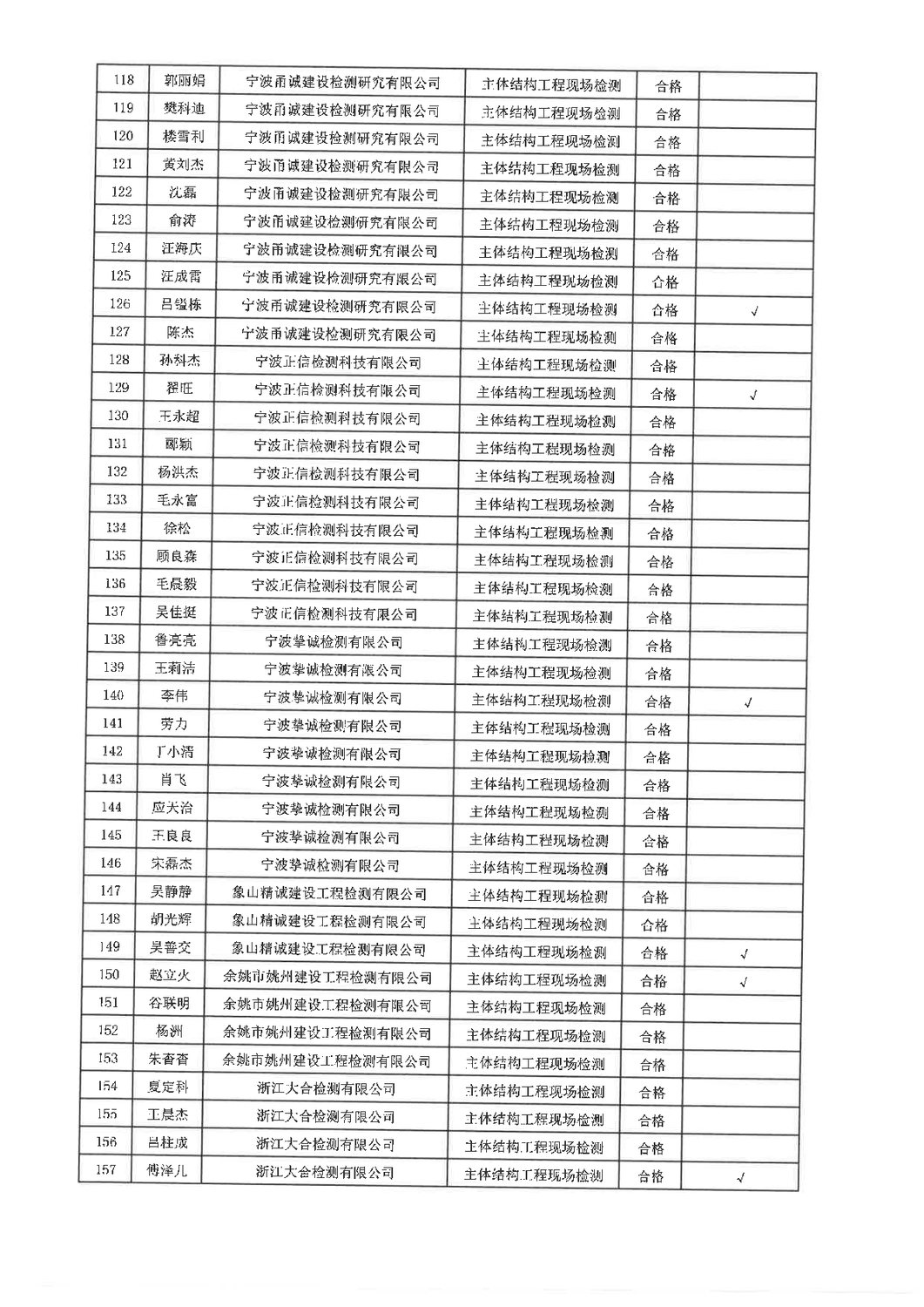
宁波市建设工程检测技术人员主体结构现场检测第一批合格人员名单公示
359
上一篇
台州市建设工程检测技术人员见证取样检测理论和实操合格人员名单公示(第四批及补考)
下一篇
标准更新2021-06-15
|
秘书处
友情链接:
浙江省工程建设质量管理协会
浙江省工程建设质量管理协会检测分会
办公时间:周一至周五
分会地址:浙江省杭州市西湖区莫干山路425号瑞祺大厦1809室
联系方式:0571-85821275